您進行調查問卷是為了更深入了解人們的意見、行為和意見反應等。但是,您如何確定他們的回答是否可靠地代表您嘗試了解的母體呢?確定您的調查問卷樣本大小有助於解決這個問題。
樣本大小是指您傳送調查問卷的對象人數。理想樣本大小會根據您目標市場或人口統計資料的總人數而有所不同。
也就是說,樣本大小只是判斷您調查問卷結果是否具有意義或統計顯著性的一項因素。
在我們向您說明如何確定調查問卷樣本大小之前,請務必先了解幾個重要術語:
例如,您可能會將調查問卷傳送給一個 1,000 人的群組。如果有 400 人開啟調查問卷,則回覆率為 40%。在多數情況下,開啟的人未必都會完成填寫。如果有 400 人開啟,但只有 200 人提交回覆,則完成率為 50%。
雖然回覆率與完成率一開始不會直接影響樣本大小,但在決定樣本大小時,這些變數仍然很重要。
這是因為當您選擇樣本來代表目標母體時,必須考量不是每個收到調查問卷的人都會填寫,而這可能影響統計顯著性。
您已確定了要研究的母體,即您正在研究或希望瞭解的全部人數。在本範例中,假設您的母體為 1,000 萬人。
接下來,您應該選擇誤差範圍。您的誤差範圍代表您對調查問卷回覆能否反映母體的觀點。
人們在調查問卷研究中常會選擇 5% 的誤差範圍。這表示您要在資料的正負兩側加減 5%,以涵蓋可能的誤差。
例如,假設有 60% 完成調查問卷的人表示他們會購買您的新產品。由於誤差範圍為 5%,您可以推論實際上有 55% 到 65% 的人會購買您的新產品。
最後,您需要選擇信心水準。信心水準是指,如果您將相同調查問卷傳送給另一組目標母體樣本,能夠獲得相同結果的機率。
在本範例中,您將調查問卷傳送給 1,000 人。根據您的誤差範圍,您推論有 55% 到 65% 的人會購買您的新產品。您對這些結果多有信心?
您選擇 95% 的信心水準,這也是業界的標準值。換句話說,如果您一再將相同的調查問卷傳送給 1,000 人,將有 95% 的機率得到相同的結果。
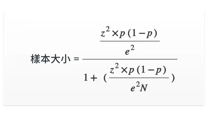
現在,您已經確定了母體、誤差範圍和預期的信心水準,是時候確定您的調查問卷樣本大小了。請記住,樣本大小是指您將調查問卷傳送給多少人。您可以使用我們的樣本大小計算工具,或使用此調查問卷樣本大小公式來計算:
*95% 信心水準為 1.96 的 z 分數
依此公式,如果母體為 10,00 萬人,誤差範圍為 5% (0.05),且信心水準為 95% (1.96 的 z 分數),則所需樣本大小為 385 人。但是,樣本大小的考量不僅止於一個數字。
在確定了目標樣本大小之後,您將需要可靠的方法來隨機選出參與者。瞭解如何使用 Excel 建立隨機樣本,以有效地挑選調查問卷收件人,同時維護適當的隨機抽樣原則。
一般來說,樣本大小越大,您的調查結果越有可能具備統計顯著性。但是,樣本大小的重要性會因以下變數而有所不同:
想快速估計需要多少人填寫您的調查問卷嗎?這裡有一張實用表格可協助您決定。您只需要知道目標母體人數,以及預期的誤差範圍 (3-10%) 即可。
| 母體 | ±3% | ±5% | ±10% |
| 500 | 345 | 220 | 80 |
| 1,000 | 525 | 285 | 90 |
| 3,000 | 810 | 350 | 100 |
| 5,000 | 910 | 370 | 100 |
| 10,000 | 1,000 | 385 | 100 |
| 100,000 | 1,100 | 400 | 100 |
| 1,000,000 | 1,100 | 400 | 100 |
| 10,000,000 | 1,100 | 400 | 100 |
*百分比代表 3%、5% 和 10% 的誤差範圍
例如,如果您正在進行醫學研究,可能會選擇較低的誤差範圍,如 3%。但如果是客戶滿意度調查問卷的樣本大小,您可能會接受較高的誤差範圍,像是 10%。
透過精心設計的樣本,您可以協助降低抽樣偏差,即調查問卷樣本無法準確代表目標母體的情況。以下是快速摘要出可考慮用於調查問卷的不同抽樣類型。
概率抽樣是指目標母體中每個人都有同等機會被選入調查問卷樣本。
主要的概率抽樣有四種類型。
非概率抽樣是指目標母體中的每個人不具備被選中的同等機會。
雖然非概率抽樣較簡單且成本較低,但也更容易產生抽樣偏差。這可能會影響調查問卷結果的可靠性。
主要的非機率抽樣有五種類型。
從專業抽樣設計到目標市場調查,SurveyMonkey Audience 可讓您快速獲得可靠的市場深入解析。

